BILDER

- arkivdokument -

Dokument

link to gallery
Upphovsman: <presImageByline>Etnografiska museet
Upphovsrätt: <presImageCopyright> Utgången upphovsrätt
Licens: <mediaLicense> Licens
Typ <itemType> Dokument
Text i dokument <itemDescription>
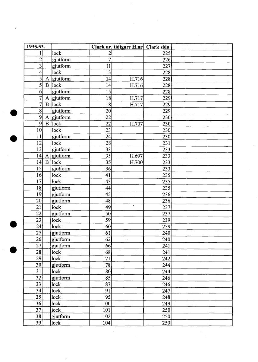
  • 1935.53. Clark nr tidigare H.nr Clark sida 1 lock 2 225 2 gjutform 7 226 3 gjutform 11 227 4 lock 13 228 5 A gjutform 14 H.716 228 5 B lock 14 H.716 228 6 gjutform 15 228 7 A gjutform 18 H.717 229 7 B lock 18 H.717 229 8 gjutform 20 229 9 A gjutform 22 230 9 B lock 22 H.707 230 10 lock 23 230 11 gjutform 24 230 12 lock 28 231 13 gjutform 33 233 14 A gjutform 35 H.697 233 14 B lock 35 H.700 233 15 ... Visa hela
Typ av dokument<itemName>
- arkivdokument -
Ämne <subject>
  • Kulturhistoria
Arkivdokument <itemNumber>
  • 1935_Batch5/File_04267
Inventarienummer / Beskriver <itemNumber>
Inventarienummer / Beskriver <itemNumber>
Inventarienummer / Beskriver <itemNumber>
Inventarienummer / Beskriver <itemNumber>
Inventarienummer / Beskriver <itemNumber>
Inventarienummer / Beskriver <itemNumber>
Inventarienummer / Beskriver <itemNumber>
Inventarienummer / Beskriver <itemNumber>
Inventarienummer / Beskriver <itemNumber>
Inventarienummer / Beskriver <itemNumber>
Inventarienummer / Beskriver <itemNumber>
Inventarienummer / Beskriver <itemNumber>
Inventarienummer / Beskriver <itemNumber>
Inventarienummer / Beskriver <itemNumber>
Inventarienummer / Beskriver <itemNumber>
Inventarienummer / Beskriver <itemNumber>
Inventarienummer / Beskriver <itemNumber>
Inventarienummer / Beskriver <itemNumber>
Inventarienummer / Beskriver <itemNumber>
Inventarienummer / Beskriver <itemNumber>
Inventarienummer / Beskriver <itemNumber>
Inventarienummer / Beskriver <itemNumber>
Inventarienummer / Beskriver <itemNumber>
Inventarienummer / Beskriver <itemNumber>
Inventarienummer / Beskriver <itemNumber>
Inventarienummer / Beskriver <itemNumber>
Inventarienummer / Beskriver <itemNumber>
Inventarienummer / Beskriver <itemNumber>
Inventarienummer / Beskriver <itemNumber>
Inventarienummer / Beskriver <itemNumber>
Inventarienummer / Beskriver <itemNumber>
Inventarienummer / Beskriver <itemNumber>
Inventarienummer / Beskriver <itemNumber>
Inventarienummer / Beskriver <itemNumber>
Inventarienummer / Beskriver <itemNumber>
Inventarienummer / Beskriver <itemNumber>
Inventarienummer / Beskriver <itemNumber>
Inventarienummer / Beskriver <itemNumber>
Inventarienummer / Beskriver <itemNumber>
Samlingsnummer / Beskriver <itemNumber>
Rättigheter för metadata <itemLicense> Licens
Källa <presOrganization> Statens museer för världskultur - Etnografiska museet
Källa <url>

Teknisk data